반응형
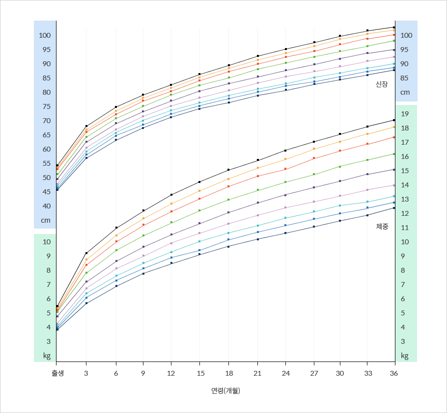
📊 0~12개월 (영아기)
✔ 키·몸무게 기준 (평균값)
개월키 (cm)몸무게 (kg)
| 출생 | 48~52 | 2.5~4.0 |
| 1개월 | 52~56 | 3.5~5.0 |
| 3개월 | 58~64 | 5.0~7.0 |
| 6개월 | 64~70 | 6.5~9.0 |
| 9개월 | 68~74 | 7.5~10.0 |
| 12개월 | 72~78 | 8.5~11.5 |
✔ 발달 특징
- 1~3개월 → 고개 가누기 시작
- 4~6개월 → 뒤집기 / 물건 잡기
- 6~9개월 → 앉기 / 기기 시작
- 9~12개월 → 잡고 서기 / 첫 걸음 시도
📊 1~3세 (유아기 초기)


✔ 키·몸무게
나이키 (cm)몸무게 (kg)
| 12개월 | 72~78 | 8.5~11.5 |
| 18개월 | 78~84 | 9.5~12.5 |
| 24개월 | 82~90 | 10.5~14 |
| 36개월 | 90~100 | 12~16 |
✔ 발달 특징
- 1세 → 혼자 걷기 시작
- 2세 → 간단한 단어 말하기 (2~3단어 문장)
- 3세 → 문장 표현 / 간단한 대화 가능
📊 4~6세 (유아기)



✔ 키·몸무게
나이키 (cm)몸무게 (kg)
| 4세 | 95~105 | 14~18 |
| 5세 | 100~110 | 15~20 |
| 6세 | 105~115 | 17~22 |
✔ 발달 특징
- 4세 → 색 구분, 역할 놀이
- 5세 → 숫자 이해 / 규칙 놀이
- 6세 → 기본 학습 준비 (읽기·쓰기 기초)
📌 부모가 꼭 알아야 할 핵심 기준
✔ 정상 범위는 “평균 ±10~15%”
👉 아이마다 성장 속도 다름 (절대 비교 금지)
✔ 더 중요한 건 “성장 흐름”
👉 갑자기 키·몸무게 증가/정체 → 체크 필요
✔ 발달 지연 체크 기준
- 12개월 → 걷지 못함
- 24개월 → 말 거의 없음
- 36개월 → 간단 대화 불가
👉 해당 시 전문 상담 권장
반응형